Achieving near-zero thermal expansion over a wide temperature range in (Hf,Ta)(Fe,Cr)2 alloys
Abstract
Zero thermal expansion alloys possess significant potential for applications in aerospace, electronics, and optical instruments because their volume remains nearly constant despite temperature changes. Regulating and exploring zero thermal expansion alloys is crucial to mitigating thermal strain and stress. This study successfully adjusted negative thermal expansion alloy (Hf, Ta)Fe2 to zero thermal expansion over a wide temperature range by optimizing its composition and controlling the magnetic phase transition. Moderately substituting Cr for Fe transformed the giant negative thermal expansion (ΔT = 15 K) into near-zero thermal expansion (ΔT = 200 K). High-resolution synchrotron X-ray diffraction, macroscopic magnetic measurements, and linear thermal expansion measurements were employed to investigate the crystalline structures, magnetic properties, and thermal expansion of Hf0.84Ta0.16Fe2-xCrx (0 ≤ x ≤ 0.25). The alignment of the magnetic phase transition and anomalous thermal expansion temperature ranges demonstrates the essential role of spin-lattice coupling. This work offers valuable insights into regulating zero thermal expansion behavior and explaining the applications of magnetic negative thermal expansion alloys. This advancement will promote their use in high-precision instruments, aerospace, microelectronics, and advanced manufacturing, enhancing device reliability and performance, particularly in extreme temperature environments.
Keywords
INTRODUCTION
Zero thermal expansion (ZTE) is a rare and precious property where the material exhibits negligible volume change with increasing temperature[1,2]. ZTE occurs when the contraction of at least one dimension of the material with rising temperature compensates for the positive thermal expansion (PTE), resulting in negligible volume change[3,4]. This anomalous behavior has attracted considerable research interest, providing a basis for understanding the physical nature of thermal expansion, and leading to the development of a new class of functional materials with unique practical value[5,6]. Research on anomalous thermal expansion dates back to 1897, when Guillaume first discovered ZTE in Invar alloys[7]. This alloy series, along with the later discovered magnetic negative thermal expansion (NTE) alloys, has been essential in aerospace remote sensors, high-pressure compressor casings, frequency generators, and printed circuit boards, due to their ability to compensate for PTE and their excellent thermal conductivity[8,9,10]. Magnetic NTE alloys can also be tuned into ZTE alloys directly. Developing high-performance ZTE alloys requires significant effort, and their practicality is often limited by narrow working temperature ranges[11,12]. Thus, regulating the magnetism and temperature range of NTE alloys is crucial for enhancing their versatility and applicability, maximizing their potential in various technological applications[13,14].
The NTE property of solid materials is due to the synergy of lattice vibration, electron transition, and phonon interaction[15]. When the NTE behavior generated by mechanisms such as anharmonic vibration, magnetic moment rearrangement, or charge transfer exceeds the PTE behavior of the lattice, the material presents a phenomenon of macroscopic volume contraction. According to the different action mechanisms, NTE materials can be divided into phonon-driven and electron-driven types. Phonon-driven NTE compounds are mainly based on an open framework structure (such as ZrW2O8)[16], and this type of NTE material achieves lattice contraction through the transverse vibration of bridge oxygen atoms or the coupling rotation of polyhedra. The electron-transition-induced type includes mechanisms such as magnetism (the magnetovolume effect of Fe65Ni35 Invar alloy), ferroelectricity (such as the ferroelectric-paraelectric phase transition of PbTiO3)[17], and charge transfer (such as the charge rearrangement of BiNiO3)[18]. The electron-transition-induced NTE materials mainly regulate the lattice volume through changes in the electronic state, among which magnetic NTE has become a hot research direction in the electron-transition type due to its unique magneto-lattice coupling characteristics[19].
Chemical substitution is one of the most effective methods for regulating thermal expansion in NTE materials. It affects thermal expansion by introducing defects and stress, and altering the material’s magnetism[20]. For instance, Song et al. achieved ZTE in TbCo2 by substituting Fe in the Co sublattice[21]. Similarly, Huang et al. incorporated Co into La(Fe, Si)13 to expand its NTE temperature range and broaden the temperature window in La(Fe, Co, Si)13[22]. Additionally, Li et al. employed the method of interstitial atom doping. They achieved ZTE in La(Fe, Si)13 by doping hydrogen atoms into the lattice[23]. Xu et al. regulated HfFe2 by changing the non-stoichiometric ratio and successfully broadened its NTE temperature window[24]. In addition to these traditional methods, some novel approaches have also been put forward. For instance, Yuan et al. broadened the NTE temperature range of Mn3GaN by increasing the configurational entropy of Ga-site[25]. Xu et al. modulated the thermal expansion coefficient of PTE HfFe2 to 1.25 × 10-6·K-1 in the temperature range of 433-583 K through non-stoichiometric engineering. Regulating PTE to ZTE or NTE is highly meaningful, and various attempts have been made to realize ZTE or NTE in the HfFe2 series[24]. Cen et al. substituted Ta into the structure and obtained (Hf, Ta)Fe2 with NTE performance. When the temperature is between 222-327 K, the thermal expansion coefficient reaches -16.3 × 10-6·K-1, making it a very promising NTE material[26]. However, the large NTE of (Hf, Ta)Fe2 caused by a first-order magnetic phase transition is difficult to regulate to ZTE, especially due to the narrow and low temperature range. Therefore, the regulation of thermal expansion of (Hf, Ta)Fe2 has become a focus of research aiming to fully exploit its application potential[27,28,29].
Herein, ZTE in Hf0.84Ta0.16Fe1.9Cr0.1 at room temperature was achieved by moderately substituting Fe with Cr. We successfully broadened the temperature range to 165-365 K with a CTE of 1.55 × 10-6·K-1. By refining the synchrotron X-ray diffraction (SXRD) profiles and analyzing the magnetic data and the thermal expansion data, it can be concluded that the thermal expansion of (Hf, Ta) Fe2 is mainly determined by the magnetoelastic coupling effect of Fe(6h). Cr substitution alters the Fe-Fe pair spacing, weakening the magnetic interaction and reducing the interaction between iron atoms[30]. The reduced interaction between iron atoms weakens the NTE trend, and the slowdown in this process results in the emergence of ZTE. This is beneficial for broadening the NTE temperature window of (Hf, Ta)Fe2.
EXPERIMENTAL
A series of Hf0.84Ta0.16Fe2-xCrx (0 ≤ x ≤ 0.25) samples were all melted in an arc furnace under a high-purity argon atmosphere. The raw materials were all high-purity metals of Hf, Ta, Fe, and Cr, with a purity of 99.99%. To ensure the uniformity of the ingots, the melting operation was repeated 4-5 times for each ingot. During each melting process, the ingot was turned over. After the melting process was completed, the ingot was wrapped with molybdenum foil and sealed in a vacuum-tight quartz tube, and then annealed in a muffle furnace at 1,223 K for 5 days before being slowly cooled down to room temperature. In addition, high-resolution SXRD patterns were collected on the BL02B2 beamline at SPring-8. The phase composition and crystal structure were analyzed, and the X-ray diffraction (XRD) patterns were refined using the program Fullprof. All the thermal expansion data of the samples were obtained using a NETZSCH thermomechanical analyzer with a heating rate of 5 K/min. To better analyze the regulation mechanisms, the macroscopic magnetic properties of the samples were measured using the Quantum Design Physical Property Measurement System (PPMS) and the Vibrating Sample Magnetometer (VSM).
RESULTS AND DISCUSSION
The XRD patterns of Hf0.84Ta0.16Fe2-xCrx (0 ≤ x ≤ 0.25) are shown in Figure 1A. The temperature-dependent XRD data for Hf0.84Ta0.16Fe2 were collected and refined using the Rietveld method [Figure 1B]. In this study, based on the diffraction XRD data obtained under the condition of room temperature (300 K) and the corresponding refined results of Hf0.84Ta0.16Fe2, we thoroughly analyzed its crystal structure [Figure 1C]. In Hf0.84Ta0.16Fe2, Hf atoms and Ta atoms are mixed and jointly occupy the Wyckoff site 4f with coordinates of (1/3, 2/3, z). Meanwhile, Fe atoms are distributed in two different Wyckoff sites, namely 2a (0, 0, 0) and 6h
Figure 1. (A) XRD patterns of Hf0.84Ta0.16Fe2-xCrx (0 ≤ x ≤ 0.25) at room temperature; (B) Rietveld refinement plots of SXRD at room temperature for Hf0.84Ta0.16Fe2. Red points and black lines represent observed and calculated profiles, respectively, and the difference between them is shown at the bottom of the graph; (C) Crystal structure (left) and Kagome layer on (001) plane (right) of
To clarify the changing trend of the intrinsic lattice thermal expansion, the temperature dependence of the SXRD patterns of Hf0.84Ta0.16Fe2 within the temperature range of 100-400 K was tested [Figure 2A]. The temperature-dependent intensities of (112) and (201) peaks are specifically marked in Figure 2B. It can be roughly observed that as the temperature rises from 100 K, the diffraction peaks of (200), (112), and (201) shift toward lower angles very slowly, but when the temperature reaches 250 K, they suddenly jump to higher diffraction angles, and then shift toward lower diffraction angles as the temperature continues to increase. This directly reflects the lattice thermal expansion characteristics of Hf0.84Ta0.16Fe2, that is, a short-lived and intense NTE at a narrow temperature range of around 250 K.
Figure 2. (A) Temperature-dependent SXRD patterns of Hf0.84Ta0.16Fe2; (B) Temperature dependence of intensities of (200), (112), and (201) peaks in SXRD patterns. SXRD: Synchrotron X-ray diffraction.
Through the structural refinement of the SXRD data, we obtained the dependence of the lattice parameters on temperature [Figure 3A]. The a-axis exhibited a relatively intense NTE phenomenon, while the c-axis showed a PTE. Since the PTE occurring on the c-axis was insufficient to exceed the intense NTE on the ab-plane, the overall volume change still demonstrated a NTE trend [Figure 3B]. This coincides with the temperature range and coefficient ratio of the macroscopic thermal expansion, thereby confirming the accuracy of the macroscopic thermal expansion measurements shown in Figure 1D.
Figure 3. (A) Temperature dependence of lattice parameters a and c for Hf0.84Ta0.16Fe2; (B) Temperature dependence of unit cell volume for Hf0.84Ta0.16Fe2.
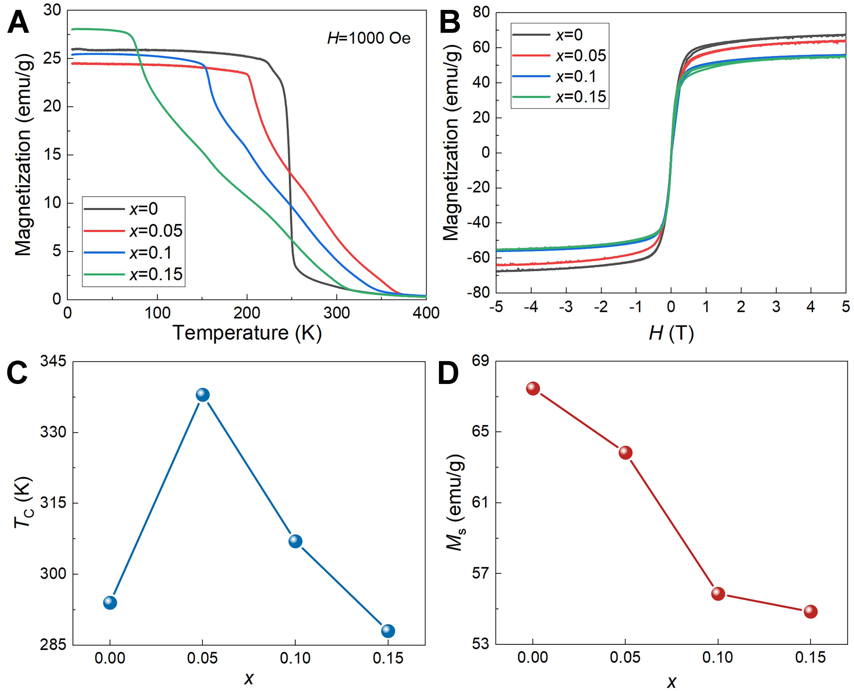
Furthermore, Tong has already studied that the NTE of (Hf, Ta)Fe2 is caused by magnetic phase transitions. Using electron spin resonance (ESR) to study the magnetic phase transition, it has been confirmed that the NTE of (Hf, Ta)Fe2 is due to spontaneous volume magnetostriction[35]. Therefore, we conducted tests on the magnetism of Hf0.84Ta0.16Fe2-xCrx (0 ≤ x ≤ 0.25). From the magnetic field and temperature-dependent magnetization curves, we found that Hf0.84Ta0.16Fe2 is still ferromagnetic at low temperatures, and a phase transition to the antiferromagnetic phase occurs when the temperature rises. The addition of the Cr element makes the ferromagnetic transition more gradual. [Figure 4A]. Moreover, as the Cr content increased, the saturation magnetization of all the samples decreased accordingly [Figure 4B]. Meanwhile, we obtained TC by measuring the extrapolated tangent line when the M-T curve undergoes a sudden change. This shows a good consistency compared with the TC obtained from the Curie-Weiss fitting [Figure 4C]. The lower fitting data after adding Cr may be caused by the antiferromagnetism brought by Cr. We believe that in this system, the substitution of Fe atoms by Cr atoms presents a special magnetic influence mechanism. Initially, when a small number of Cr atoms entered the lattice to carry out substitution, The different electronic structures and atomic radii of Cr change the coupling interaction between magnetic atoms. With the increase of Cr content, the saturation magnetization of the compound also decreases [Figure 4D]. To some extent, this new coupling mode optimized the magnetic interactions within the system, making the cooperative arrangement of magnetic moments among atoms more orderly, thus promoting the increase in the Curie temperature (TC). However, as the amount of Cr substitution further increased, the magnetic balance within the system was disrupted. Excessive antiferromagnetic Cr atoms led to excessive disorder in the magnetic interactions, seriously destroying the original ordered arrangement of magnetic moments, and gradually weakening the overall magnetism. Eventually, the TC dropped to some extent. At the same time, as the chromium (Cr) content increases, the trend of the ferromagnetic transition also changes from being drastic to being more gentle. When the Cr content was 0.1, the degree of weakening of the magnetic interactions just promoted the transformation from NTE to near-zero thermal expansion.
Figure 4. (A) Temperature dependence of magnetization for Hf0.84Ta0.16Fe2-xCrx (0 ≤ x ≤ 0.15); (B) Hysteresis loops of Hf0.84Ta0.16Fe2-xCrx (0 ≤ x ≤ 0.15) from -5 to 5 T at 5 K; (C) TC and (D) MS for Hf0.84Ta0.16Fe2-xCrx (0 ≤ x ≤ 0.15). TC: Curie temperature; MS: saturation magnetization.
Furthermore, since it is known that the NTE phenomenon of Hf0.84Ta0.16Fe2 mainly occurs in the ab plane, we need to obtain the changes in the interatomic bond lengths within the ab plane for further research. Therefore, after refining the temperature-dependent XRD data, we obtained the bond lengths between Fe atoms. The bond lengths between Fe atoms at the 2a site and those at the 6h site did not show significant changes with the variation of temperature. However, interestingly, we found that the bond lengths between Fe atoms at the 6h site within the ab plane all decreased when the temperature rose to around 250 K [Figure 5A]. Therefore, we infer that the bond length contraction between Fe atoms at the 6h position in the ab plane affects the Fe - Fe atomic interaction, which is the main reason for the NTE in Hf0.84Ta0.16Fe2. This is also consistent with the research on the thermal expansion behavior of Kagome magnets [Figure 5B] in the ab plane of (Hf, Ta)Fe2 conducted by Xu et al.[33].
Figure 5. (A) Temperature dependence of the pair distance of different Fe - Fe pairs obtained from the refined results; (B) The position of Fe atoms and the bond lengths models of Hf0.84Ta0.16Fe2.
To observe the relationship between magnetic changes and anomalous thermal expansion more intuitively, we fitted the thermal expansion curve with the curve of magnetic properties changing with temperature [Figure 6]. It turned out that the result was consistent with our previous speculation. For Hf0.84Ta0.16Fe2, as the ferromagnetic phase rapidly transformed into the antiferromagnetic phase [Figure 6A], the thermal expansion curve also dropped sharply at almost the same temperature point. However, in Figure 6B, the ferromagnetic transition of Hf0.84Ta0.16Fe1.9Cr0.1 becomes smoother, and correspondingly, the thermal expansion curve in the same temperature range also showed a trend of becoming gentler and exhibited a near-zero thermal expansion phenomenon. This simultaneously verified the strong coupling behavior between the thermal expansion behavior and the magnetic phase transition in Hf0.84Ta0.16Fe2-xCrx (0 ≤ x ≤ 0.15)[36].
CONCLUSION
In summary, we developed a ZTE material with a thermal expansion coefficient of 1.55 × 10-6·K-1 and an operating temperature range covering room temperature (165-365 K). Our strategy to regulate the NTE of Hf0.84Ta0.16Fe2 involves chemical substitution and continuous optimization composition. The strong interaction between Fe atoms drives the NTE of Hf0.84Ta0.16Fe2. Introducing Cr atoms weakens the magnetic interaction between Fe atoms, reducing the extent of NTE. When the Cr content reaches 0.1, the weakened and decelerated interaction between Fe atoms in the ab plane delays the ferromagnetic transformation, leading to ZTE. This research expands the understanding of near-zero thermal expansion regulation in (Hf, Ta)Fe2 and highlights the potential applications of dimensionally stable materials over wide temperature ranges in advanced modern technologies[37].
DECLARATIONS
Acknowledgments
The authors thank Space Environment Simulation Research Infrastructure for assistance in the experiment.
Authors’ contributions
Fabricated the specimen: Wang, X.
Analyzed the diffraction data, atomic structure, and corresponding theories: Wang, X.; Ai, M.
Conceived the study and designed the research: Wang, X.
Wrote the paper: Wang, X.; Ai, M.
Contributed equally to this work: Wang, X.; Ai, M.
Read and contributed to the manuscript: Wang, X.; Ai, M.; Long, F.; Zhong, H.; Lu, H.; Zhou, C.; Chen, J.
Availability of data and materials
Data will be made available from the corresponding author upon reasonable request.
Financial support and sponsorship
This work was supported by the National Key R&D Program of China (2022YFE0109100), the Outstanding Young Scientist Program of Beijing Colleges and Universities (JWZQ20240101015), and the National Natural Science Foundation of China (22205016, 22275014, and 12104038).
Conflicts of interest
Chen, J. is the Executive Editor of the journal Microstructures. Chen, J. was not involved in any steps of editorial processing, notably including reviewer selection, manuscript handling, or decision making. The other authors declared that there are no conflicts of interest.
Ethical approval and consent to participate
Not applicable.
Consent for publication
Not applicable.
Copyright
© The Author(s) 2025.
REFERENCES
1. Yokoyama, T.; Eguchi, K. Anisotropic thermal expansion and cooperative Invar and anti-Invar effects in mn alloys. Phys. Rev. Lett. 2013, 110, 075901.
2. Gao, Q.; Sun, Y.; Shi, N.; et al. Large isotropic negative thermal expansion in water-free Prussian blue analogues of ScCo(CN)6. Scripta. Materialia. 2020, 187, 119-24.
3. Attfield, J. P. Condensed-matter physics: a fresh twist on shrinking materials. Nature 2011, 480, 465-6.
4. Song, Y.; Sun, Q.; Xu, M.; et al. Negative thermal expansion in (Sc,Ti)Fe2 induced by an unconventional magnetovolume effect. Mater. Horiz. 2020, 7, 275-81.
5. Lohaus, S. H.; Heine, M.; Guzman, P.; et al. A thermodynamic explanation of the Invar effect. Nat. Phys. 2023, 19, 1642-8.
6. Pang, X.; Song, Y.; Shi, N.; Xu, M.; Zhou, C.; Chen, J. Design of zero thermal expansion and high thermal conductivity in machinable xLFCS/Cu metal matrix composites. Compos. Part. B. Eng. 2022, 238, 109883.
7. Schilfgaarde M, Abrikosov IA, Johansson B. Origin of the Invar effect in iron-nickel alloys. Nature 1999, 400, 46-9.
8. Diop, L. V.; Amara, M.; Isnard, O. Large magnetovolume effects due to transition from the ferromagnetic to antiferromagnetic state in Hf0.825Ta0.175Fe2 intermetallic compound. J. Phys. Condens. Matter. 2013, 25, 416007.
9. Chen, F.; Xie, H.; Huo, M.; Wu, H.; Li, L.; Jiang, Z. Effects of magnetic field and hydrostatic pressure on the antiferromagnetic-ferromagnetic transition and magneto-functional properties in Hf1-xTaxFe2 alloys. Tungsten 2023, 5, 503-11.
10. Dong, X.; Lin, K.; Yu, C.; et al. Zero thermal expansion in non-stoichiometric and single-phase (Hf,Nb)Fe2.5 alloy. Scr. Mater. 2023, 229, 115388.
11. Yan-jun, H.; Zhong-ying, J.; Nan, C.; Zhi-da, H.; Shu-zhen, L.; Yuan-fu, H. Magnetic properties of Hf0.8Ta0.2(Fe0.97A0.03)2 (A=Al, Co, Mn) systems. Chinese. Phys. Lett. 2006, 23, 3309-12.
12. Duijn, H. G. M.; Brück, E.; Menovsky, A. A.; et al. Magnetic and transport properties of the itinerant electron system Hf1-xTaxFe2. J. Appl. Phys. 1997, 81, 4218-20.
13. Diop, L.; Isnard, O.; Suard, E.; Benea, D. Neutron diffraction study of the itinerant-electron metamagnetic Hf0.825Ta0.175Fe2 compound. Solid. State. Commun. 2016, 229, 16-21.
14. Ouyang, Z.; Rao, G.; Yang, H.; et al. Structure and unusual magnetic properties in the itinerant electron system Hf0.8Ta0.2(Fe1-xCox)2. J. Appl. Phys. 2004, 370, 18-24.
15. Ma, R.; Liu, Z.; Chen, L.; et al. Transition from isotropic positive to negative thermal expansion by local Zr6O8 node distortion in MOF-801. Microstructures 2024, 4, 2024023.
16. Kennedy, C. A.; White, M. A. Unusual thermal conductivity of the negative thermal expansion material, ZrW2O8. Solid. State. Commun. 2005, 134, 271-6.
17. Jiao, Y. C.; Li, M.; Qu, B. Y.; et al. First-principles study of the negative thermal expansion of PbTiO3. Comput. Mater. Sci. 2016, 124, 92-7.
18. Azuma, M.; Chen, W.; Seki, H.; et al. Colossal negative thermal expansion in BiNiO3 induced by intermetallic charge transfer. Nat. Commun. 2011, 2, 347.
19. Zheng, X. G.; Kubozono, H.; Yamada, H.; et al. Giant negative thermal expansion in magnetic nanocrystals. Nat. Nanotechnol. 2008, 3, 724-6.
20. Cao, Y.; Xu, Y.; Khmelevskyi, S.; et al. Interplanar magnetic orders and symmetry-tuned zero thermal expansion in Kagomé metal (Zr,Ta)Fe2. Chem. Mater. 2023, 35, 9167-74.
21. Song, Y.; Chen, J.; Liu, X.; et al. Zero thermal expansion in magnetic and metallic Tb(Co,Fe)2 intermetallic compounds. J. Am. Chem. Soc. 2018, 140, 602-5.
22. Huang, R.; Liu, Y.; Fan, W.; et al. Giant negative thermal expansion in NaZn13-type La(Fe, Si, Co)13 compounds. J. Am. Chem. Soc. 2013, 135, 11469-72.
23. Li, S.; Huang, R.; Zhao, Y.; Wang, W.; Han, Y.; Li, L. Zero thermal expansion achieved by an electrolytic hydriding method in La(Fe,Si)13 compounds. Adv. Funct. Mater. 2017, 27, 1604195.
24. Xu, M.; Song, Y.; Xu, Y.; et al. High-temperature zero thermal expansion in HfFe2+δ from added ferromagnetic paths. Chem. Mater. 2022, 34, 9437-45.
25. Yuan, X.; Wang, B.; Sun, Y.; et al. High‐entropy anti‐perovskites with enhanced negative thermal expansion behavior. Adv. Funct. Mater. 2024, 34, 2404629.
26. Cen, D.; Wang, B.; Chu, R.; et al. Design of (Hf,Ta)Fe2/Fe composite with zero thermal expansion covering room temperature. Scr. Mater. 2020, 186, 331-5.
27. Bag, P.; Rawat, R.; Chaddah, P.; Babu, P. D.; Siruguri, V. Unconventional thermal effects across first-order magnetic transition in the Ta-doped HfFe2 intermetallic. Phys. Rev. B. 2016, 93, 014416.
28. Li, B.; Luo, X. H.; Wang, H.; et al. Colossal negative thermal expansion induced by magnetic phase competition on frustrated lattices in Laves phase compound (Hf,Ta) Fe2. Phys. Rev. B. 2016, 93, 224405.
29. Qiao, Y.; Song, Y.; Lin, K.; et al. Negative thermal expansion in (Hf,Ti)Fe2 induced by the ferromagnetic and antiferromagnetic phase coexistence. Inorg. Chem. 2019, 58, 5380-3.
30. Wada, H.; Shimamura, N.; Shiga, M. Thermal and transport properties of Hf1-xTaxFe2. Phys. Rev. B. Condens. Matter. 1993, 48, 10221-6.
31. Delyagin, N.; Erzinkyan, A.; Parfenova, V.; Rozantsev, I.; Ryasny, G. Ferromagnetic-to-antiferromagnetic transition in (Hf1-xTix)Fe2 intermetallic compounds induced by geometrical frustration of the Fe(2a) sites. J. Magn. Magn. Mater. 2008, 320, 1853-7.
32. Sun, Y.; Cao, Y.; Hu, S.; et al. Interplanar ferromagnetism enhanced ultrawide zero thermal expansion in kagome cubic intermetallic (Zr,Nb)Fe2. J. Am. Chem. Soc. 2023, 145, 17096-102.
33. Xu, J.; Wang, Z.; Huang, H.; et al. Significant zero thermal expansion via enhanced magnetoelastic coupling in kagome magnets. Adv. Mater. 2023, 35, e2208635.
34. Diop, L. V. B.; Kastil, J.; Isnard, O.; Arnold, Z.; Kamarad, J. Collapse of ferromagnetism in itinerant-electron system: a magnetic, transport properties, and high pressure study of (Hf,Ta)Fe2 compounds. J. Appl. Phys. 2014, 116, 163907.
35. Li, L.; Tong, P.; Zou, Y.; et al. Good comprehensive performance of Laves phase Hf1-xTaxFe2 as negative thermal expansion materials. Acta. Mater. 2018, 161, 258-65.
36. Qiao, Y.; Liaquat, I.; Zhu, Y.; Guo, J.; Liang, E.; Gao, Q. Tunable thermal expansion via the magnetic phase competition in kagome magnets. Appl. Phys. Lett. 2024, 125, 032403.
Cite This Article
How to Cite
Download Citation
Export Citation File:
Type of Import
Tips on Downloading Citation
Citation Manager File Format
Type of Import
Direct Import: When the Direct Import option is selected (the default state), a dialogue box will give you the option to Save or Open the downloaded citation data. Choosing Open will either launch your citation manager or give you a choice of applications with which to use the metadata. The Save option saves the file locally for later use.
Indirect Import: When the Indirect Import option is selected, the metadata is displayed and may be copied and pasted as needed.
About This Article
Copyright
Data & Comments
Data
















Comments
Comments must be written in English. Spam, offensive content, impersonation, and private information will not be permitted. If any comment is reported and identified as inappropriate content by OAE staff, the comment will be removed without notice. If you have any queries or need any help, please contact us at [email protected].