Catalytic decomposition of methane: Ni-promoted perovskite oxide catalysts for turquoise hydrogen and carbon nanomaterials Co-production
Abstract
This study investigates the effectiveness of catalytic decomposition of methane for producing turquoise hydrogen and solid carbon nanomaterials. The focus is on developing cost-effective and high-performance Nickel (Ni)-promoted perovskite oxide catalysts. A series of transition metal, Ni-promoted (La0.75Ca0.25)(Cr0.5Mn0.5)O3-δ (LCCM) catalysts have been successfully prepared using water-based gel-casting technology. These catalysts are designed to decompose methane into turquoise hydrogen and carbon nanomaterials, achieving negligible CO2 emissions.
Keywords
Correction published on 23 December 2025, see Energy Mater. 2025, 5, 500158.
INTRODUCTION
Hydrogen (H2), recognized as a sustainable alternative to fossil-based fuels, can be produced through various methods, each with distinct environmental impacts. These methods are categorized into seven types based on the processes and resources involved: White (Gold) Hydrogen, Green Hydrogen, Grey Hydrogen, Blue Hydrogen, Brown Hydrogen, Turquoise Hydrogen, and Pink Hydrogen, as illustrated in Figure 1[1-3]. Throughout the history of industrial chemistry, hydrogen has been one of the most important chemicals. According to the International Energy Agency (IEA), chemical and petrochemical applications account for over 95% of pure hydrogen consumption and 70% of the total hydrogen demand. Most of this hydrogen is used in ammonia synthesis, methanol production, and refining processes[4,5].
Figure 1. Classification of hydrogen production into seven types based on process and resource involvement.
The use of microorganisms to generate bio-hydrogen represents a significant technological advancement, offering a renewable method for producing H2 from biomass. Additionally, steam reforming, partial oxidation, and gasification are thermocatalytic processes commonly employed for hydrogen production[6]. Steam methane reforming (SMR) is a necessary industrial process for converting methane into grey or blue hydrogen, depending on whether carbon dioxide is captured[7-9]. SMR is a well-researched and mature technology[4,10-14]. Recently, Do et al. have introduced a new carbon-neutral hydrogen production method using electrified SMR (e-SMR) powered by renewable electricity, which extracts hydrogen from natural gas. Due to its ability to integrate hybrid primary energy inputs, utilize conventional natural gas as a feedstock, and employ both conventional and renewable energy for utilities, e-SMR is highly adaptable to the diverse energy landscapes of various countries[15]. Unlike the use of carbon capture and storage (CCS) technology for mitigating CO2 emissions in the “blue hydrogen” production process, the concept of “turquoise hydrogen” involves converting natural gas (primarily CH4) into hydrogen and value-added solid carbon nanomaterials, resulting in nearly zero emissions[16-18].
A literature review has been conducted to understand the conditions and effects of methane cracking reactions. Methane cracking is an endothermic process, thus requiring high temperatures. Temperatures above 1200 °C are necessary for the non-catalytic cracking of methane due to the stability of C-H bonds[19,20]. However, using a catalyst can significantly reduce the required temperature through pyrolysis reactions[21]. Catalysts, typically metal or metal oxide-based, are employed to promote methane cracking reactions, lowering reaction temperatures significantly and influencing the types and properties of carbon products[22]. Transition metals such as Ni (Nickel), Co (Cobalt), and Fe (Iron) are favored for their high catalytic activity and affordability[23]. The ranking of catalytic activity among transition metals is generally as follows: Co, Ru, Ni, Rh > Pt, Re, Ir > Pd, Cu, W, Fe, Mo[19]. Different catalysts have pros and cons based on the literature review conducted, and it was found that catalyst supports also affect catalytic performance.
The deactivation of catalysts remains a major hurdle in methane catalytic cracking. Therefore, selecting an optimum operating temperature that balances carbon formation and diffusion rates is necessary to extend the catalyst lifetime while maintaining the required catalytic activity[16,24-27]. While most catalysts adhere to the tip growth mechanism during the Catalytic Decomposition of Methane (CDM) reaction, exceptions exist. In cases where the interaction between active catalyst and substrate phases is strong enough, the “base growth” mechanism occurs, resulting in carbon filaments growing from the metal-gas interface[2].
Compared to Ni-supported catalysts, perovskite catalysts can withstand higher temperatures, resulting in a higher methane conversion rate. For instance, the LaNiO3 catalyst for methane deposition to produce carbon nanotubes and COx-free hydrogen has been tested at temperatures ranging from 600 to 800 °C[26,28]. However, LaNiO3 decomposed after pre-reduction with pure hydrogen at 700 °C in one hour, indicating that Ni loaded on La2O3 support will not prevent Ni sintering under operating conditions.
The perovskite structure, with the composition (La0.75A0.25)(Cr0.5Mn0.5)O3-δ [where A=Ca for (La0.75Ca0.25)
The cost of the catalyst is another significant challenge hindering commercialization. Using carbonates and oxides as raw materials and synthesizing via a solid-state reaction can lower the cost, but the performance will be penalized. The materials synthesized through the gel-casting method exhibit lower phase formation temperatures, narrower particle size distributions, improved sintering properties, and enhanced electrochemical activity[38-40]. For example, the phase formation temperature of LSCM has been reduced by over 100 °C[33,38], and the sintering temperature of apatite electrolytes has been lowered by more than
Therefore, this paper investigates the enhancement of catalytic activity of LCCM through Ni over-doping, synthesized in one step via the gel-casting technique at different molar ratios, for methane catalytic cracking. This catalyst is expected to possess reactivity, and low production costs, making it easily scalable for mass production.
EXPERIMENTAL
Preparation of Ni-Promoted LCCM
The LCCM oxide promoted by NiO catalysts (xNi-LCCM) was synthesized using a water-based gel-casting method. Samples were denoted based on their Ni to LCCM molar ratios; for the sample, a ratio of 0 mol Ni resulted in the designation 00Ni-LCCM. When the molar ratio was 0.5 mol, the sample was denoted as 05Ni-LCCM. All designated columns are listed in Table 1. For instance, in the 15Ni-LCCM synthesis, the following quantities were used: La2O3 (45.82 g), CaCO3 (9.38 g), Cr2O3 (14.25 g), MnCO3 (21.55 g), NiO (42.01 g). These were homogeneously mixed with a dispersant solution containing 6.65 g of a 30 wt.% ammonium polymethacrylate (PMAA) solution, 0.67 g polyvinylpyrrolidone (PVP K30), and 27.21 g of a
Figure 2. Flow chart of synthesis process for xNi-LCCM series catalysts using water-based gel-casting. LCCM: (La0.75Ca0.25)(Cr0.5Mn0.5)O3-δ; MBAM: N,N’-methylenebisacrylamide; AM: Acrylamide.
Molar ratios and denoted names of Ni-promoted LCCM series catalysts
| S/N | Molar ratio | Denoted as |
| #1 | Ni0.0:La0.75Ca0.25Cr0.5Mn0.5O3-δ = 0:1 | 00Ni-LCCM |
| #2 | Ni0.2:La0.75Ca0.25Cr0.5Mn0.5O3-δ = 0.2:1 | 02Ni-LCCM |
| #3 | Ni0.5:La0.75Ca0.25Cr0.5Mn0.5O3-δ = 0.5:1 | 05Ni-LCCM |
| #4 | Ni1.0:La0.75Ca0.25Cr0.5Mn0.5O3-δ = 1.0:1 | 10Ni-LCCM |
| #5 | Ni1.5:La0.75Ca0.25Cr0.5Mn0.5O3-δ = 1.5:1 | 15Ni-LCCM |
| #6 | Ni2.0:La0.75Ca0.25Cr0.5Mn0.5O3-δ = 2.0:1 | 20Ni-LCCM |
| #7 | Ni2.5:La0.75Ca0.25Cr0.5Mn0.5O3-δ = 2.5:1 | 25Ni-LCCM |
Characterization and catalytic performance measurements
The phase of the as-prepared powders was determined by X-ray diffraction (XRD) using CuKα1 radiation
Methane decomposition experimental setup
The schematic illustrations of the experimental setup used to assess the stability of xNi-LCCM under reducing atmospheric conditions and methane decomposition reactions at different temperatures are shown in Figure 3. The fixed-bed thermal reactor is constructed from a quartz tube with a length of 120 cm, an outer diameter of 23 mm, and an inner diameter of 18 mm. The reactor is heated using a single-zone resistive electrical heating system. The catalyst was loaded into the middle of the reactor tube. CH4, N2, and H2 were introduced into the reactor using mass flow controllers to regulate the feed gas flow rate. When investigating the stability of xNi-LCCM catalysts under reducing atmospheres, the mixed gas stream comprised 20 standard cubic centimeter (SCCM) of H2 and 30 SCCM of N2. When studying methane decomposition reactions, the flow rate of CH4 was maintained at 10 SCCM over a 0.2 g sample, resulting in a gas hourly space velocity (GHSV) of 3 L∙gcat.-1∙h-1. The product gases were continuously analyzed using a gas chromatograph
RESULTS AND DISCUSSION
Thermal analysis of precursor
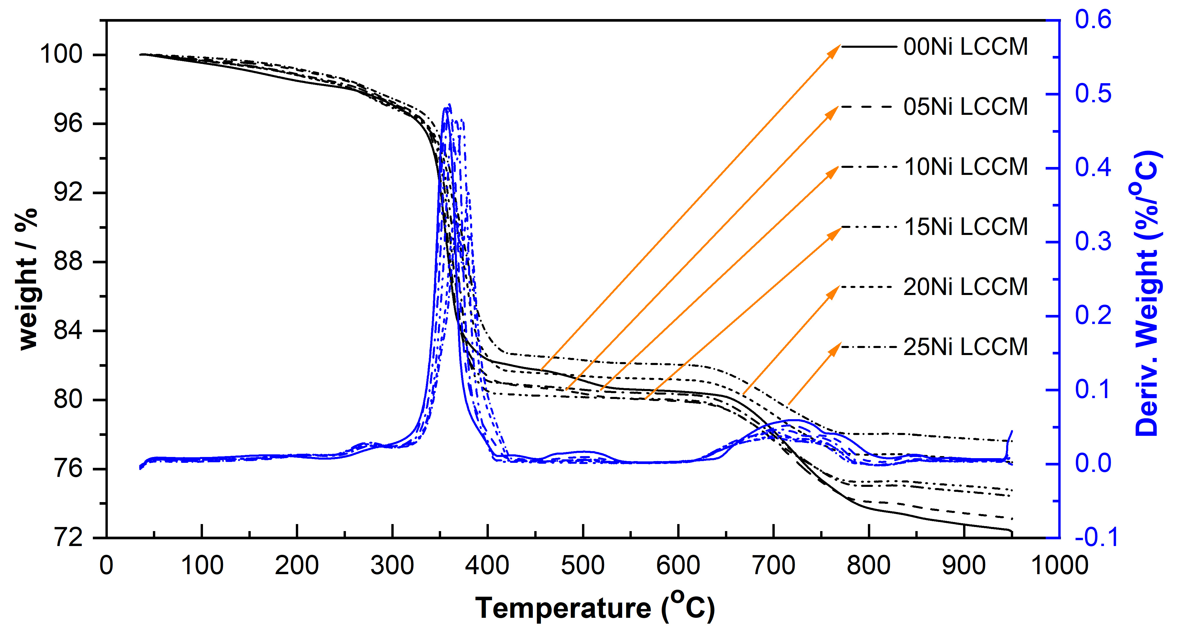
Figure 4 shows the decomposition characteristics of the xNi-LCCM precursors observed in the TGA of the water-based gel-casting process. Below 250 °C, there were losses of approximately 2.5 wt.%, likely due to the endothermic removal of residual water in the polymer network and powder mixtures. The significant decomposition of the gel-casting precursors occurred within the temperature range of 250-450 °C, indicated by a sharp endothermic peak in the Differential Thermal Gravimetry (DTG) spectra around 375 °C. The decomposition suggests the thermal oxidation of the polymer network, the removal of bound molecular water, and the decomposition of carbonaceous precursors. The high-temperature decomposition characteristics of the xNi-LCCM gels result from the decomposition of CaCO3. Due to the limitation of the TGA testing temperature range, the experiments could only be conducted up to a temperature of 950 °C. Based on published journal papers, the calcination temperature for xNi-LCCM was set at 1050 °C for
Phase of xNi-LCCM under reducing and CH4 atmosphere
Figure 5 depicts the XRD patterns of the xNi-LCCM powder synthesized using water-based gel-casting techniques and treated under various temperatures and atmospheres. The powders underwent calcination at 1050 °C for ten h in the air, followed by treatment at 750 °C for two h under an H2/N2 gas blend in a tube furnace, and finally processed under CH4 at 750 °C for 15 h in a fixed bed reactor, as shown in Figure 3. The phases of NiO, LCCM, Ni, and the produced carbon material are differentiated and indicated by various solid symbols: green triangle, brown square, grey triangle, and black circle, respectively.
Figure 5. X-ray diffraction (XRD) patterns of the xNi-LCCM powder, synthesized using water-based gel-casting techniques, (A) calcined at 1050 °C for 10 h in air; (B) reduced at 750 °C for 2 h in N2 blended H2; (C) treated at 750 °C for 15 h in CH4. The phases of LCCM, Ni, NiO, and the produced carbon material were differentiated and indicated by various solid symbols: brown square, grey triangle, green triangle, and black circle, respectively. LCCM: (La0.75Ca0.25)(Cr0.5Mn0.5)O3-δ.
Figure 5A illustrates the 00Ni-LCCM synthesized through a water-based gel-casting method and subsequently calcined at 1050 °C for ten h in the air. The XRD analysis confirmed the formation of the LCCM perovskite structure, aligning with previous research by Zhang et al. The XRD pattern of the synthesized LCCM powder matched that in the database, confirming successful perovskite structure formation[39]. As shown in Figure 5A, regarding the XRD pattern of 02Ni-LCCM, no second phase was detected when the ratio of Ni to LCCM was 0.2, indicating that all the incorporated nickel oxide entered the crystal structure of LCCM during the calcination process. Upon increasing the Ni content further, the XRD patterns reveal the presence of nickel oxide phases, clearly due to the solubility limit of nickel oxide. This phenomenon aligns with the findings by Jardiel et al., who reported that the solid solution limit was
As shown in Figure 5B, the XRD pattern of 00Ni-LCCM treated in a reducing atmosphere matched the XRD pattern of 00Ni-LCCM calcined in static air, indicating the stability of 00Ni-LCCM powders in a reducing environment. In the XRD pattern of 02Ni-LCCM treated in a reducing atmosphere, a peak of the Ni phase was detected, which is due to the exsolution of Ni metal from the crystal structure of 02Ni-LCCM. Li et al. reported that catalytically active copper nanoparticles are grown on the surface of the LSCM cathode via in-situ exsolution of copper metal from an A-site deficient and B-site excess after reduction[34]. As the nickel oxide content in the samples rises, the intensity of the nickel diffraction peaks significantly increases. This further supports the notion that the solubility of metallic nickel in the B-site of LCCM is limited.
As shown in Figure 5C, the XRD pattern of 00Ni-LCCM treated in a methane atmosphere is consistent with the XRD pattern of 00Ni-LCCM calcined in static air and treated in a reducing atmosphere, indicating that LCCM alone does not exhibit catalytic activity for methane cracking. Lanthanum chromite-based materials have been frequently reported for the direct oxidation of methane on SOFC anodes, noted for their high resistance to carbon deposition[29,31].
Peaks of carbon material were detected in the XRD patterns of all samples except for the 00Ni-LCCM sample. The diffraction reflection at approximately 26.4° can be attributed to graphite, while the reflection at around 44.5° results from the overlapping peaks of C and Ni, as indicated in Joint Committee on Powder Diffraction Standards (JCPDS) cards No. 96-101-1061 and No. 96-901-1598. However, a notable difference is the increased intensity of carbon and nickel peaks correlating with the rise in nickel concentration.
Furthermore, according to Figure 5B and C, the perovskite crystal structure of LCCM remains intact and has not decomposed into lanthanum oxide, calcium oxide, and metallic chromium and manganese. This is different from other perovskites, such as LaNiO3, which decompose when used as catalyst precursors[26,28,41,42].
Weight change of xNi-LCCM under various atmospheres
Based on the XRD analysis results mentioned above, the amount of nickel doping at the B-site is limited, approximately 0.2 mol. The theoretical weight content of nickel in the different samples is calculated by
Where NxNi-LCCM represents the specific theoretical Ni weight percentage in the xNi-LCCM sample. W02Ni-LCCM refers to the Ni weight of (La0.75Ca0.25)(Cr0.5Mn0.5Ni0.2)O3-δ and WNi-NiO is the Ni weight of NiO. The specific theoretical Ni weight percentages for different samples are listed in Table 2.
Weight of xNi-LCCM under various atmospheres and carbon yields
| Sample | NNi | WL (H2 + N2) | 750 °C for 15 h (CH4) | 800 °C for 15 h (CH4) | 850 °C for15 h (CH4) | |||
| YC∙xNi-LCCM | YC∙Ni | YC∙xNi-LCCM | YC∙Ni | YC∙xNi-LCCM | YC∙Ni | |||
| wt.% | wt.% | gC/gxNi-LCCM | gC/gNi | gC/gxNi-LCCM | gC/gNi | gC/gxNi-LCCM | gC/gNi | |
| 00Ni-LCCM | 0.00 | -0.63 | 0.00 | 0.00 | 0.00 | 0.00 | 0.00 | 0.00 |
| 02Ni-LCCM | 5.16 | -1.92 | 0.32 | 6.20 | 0.33 | 6.40 | 0.35 | 6.78 |
| 05Ni-LCCM | 11.75 | -3.62 | 1.23 | 10.47 | 1.12 | 9.53 | 0.9 | 7.66 |
| 10Ni-LCCM | 20.44 | -5.99 | 2.92 | 14.29 | 2.37 | 11.59 | 2.33 | 11.40 |
| 15Ni-LCCM | 27.13 | -7.76 | 4.42 | 17.04 | 3.50 | 13.49 | 2.72 | 10.49 |
| 20Ni-LCCM | 32.44 | -9.14 | 5.57 | 17.17 | 4.35 | 13.41 | 3.38 | 10.42 |
| 25Ni-LCCM | 36.76 | -10.31 | 6.48 | 17.63 | 5.09 | 13.85 | 4.09 | 11.13 |
To assess the stability of xNi-LCCM under reducing atmospheric conditions, samples from the xNi-LCCM series were treated in a reducing atmosphere at 750 °C for 2h. The experimental weight loss percentage in the reducing atmosphere was calculated based on the weights of the samples before and after the treatment, as given in
Where WL represents the experimental weight loss percentage, WRB denotes the sample’s weight before undergoing reduction treatment, and WRA corresponds to the sample’s weight after reduction treatment.
The specific yield of carbon (gC/gxNi-LCCM) is calculated as follows:
Where mC∙xNi-LCCM is the weight of carbon formed over the sample, including the sample weight (g); mxNi-LCCM is the weight of the sample (g).
The specific yield of carbon (gC/gNi) is calculated as
Table 2 presents the carbon yield achieved using the xNi-LCCM catalysts at temperatures of 700 °C, 750 °C, 800 °C, and 850 °C for 15 h, respectively, in pure CH4. The experiment reveals that no carbon material was produced over xNi-LCCM at 700 °C. It was also found that at all test temperatures, there was no carbon deposition on the 00Ni-LCCM catalyst, meaning the carbon yield was zero. This is consistent with the earlier XRD test results (see Figure 5C).
When the Ni to LCCM molar ratio was 0.2, as in the 02Ni-LCCM sample, the carbon yield reached
As summarized in Table 2, at 750 °C, the carbon yield increased with Ni concentration. However, the YC∙Ni relative to Ni concentration remained nearly constant, between 17.04 to 17.63 gC/gNi, when the Ni to LCCM molar ratio exceeded 1.5. This indicates that higher Ni concentrations were not advantageous due to severe Ni agglomeration and sintering. This phenomenon persisted at elevated temperatures of 800 °C and 850 °C. For instance, using 15Ni-LCCM as an example, an increase in the testing temperature led to a decrease in carbon yield, from 17.04 gC/gNi to 10.49 gC/gNi, suggesting intensified Ni sintering at elevated temperatures. Therefore, the optimal temperature for maximum carbon yield appears to be 750 °C.
Thermo Gravimetric Analysis (TGA) was performed on carbon nanomaterials produced over the
Figure 6. TGA and DTG diagrams for carbon materials deposited on xNi-LCCM at 750 °C under CH4 for 15 h. TGA: A thermogravimetric analyzer; DTG: Differential thermal gravimetry; LCCM: (La0.75Ca0.25)(Cr0.5Mn0.5)O3-δ.
Table 3 lists two types of weight loss data. The first type was calculated based on the carbon yield, representing the total weight loss of the obtained carbon nanomaterials, including the reduced sample, and evaluating the overall carbon yield. TGA is another technique for assessing carbon yield. It requires only a 10 mg sample and provides a localized view of the carbon yield. The weight loss figures calculated based on carbon yield closely match the TGA analysis results, implying that the carbon nanomaterials and catalyst samples are homogeneous.
Weight loss of carbon produced over xNi-LCCM under CH4 at 750 °C for 15 h
| Sample | Calculated based on carbon yield | TGA analysis | ||
| Residue/wt.% | Weight loss/wt.% | Residue/wt.% | Weight loss/wt.% | |
| 00Ni-LCCM | 100.00 | 0.00 | 100.08 | 0.00 |
| 02Ni-LCCM | 75.75 | 24.24 | 76.64 | 23.36 |
| 05Ni-LCCM | 44.84 | 52.20 | 45.64 | 54.36 |
| 10Ni-LCCM | 25.51 | 74.49 | 25.87 | 74.13 |
| 15Ni-LCCM | 18.45 | 81.56 | 19.65 | 80.35 |
| 20Ni-LCCM | 15.22 | 84.78 | 16.35 | 83.65 |
| 25Ni-LCCM | 13.37 | 86.63 | 14.86 | 86.14 |
Methane conversion and H2 production over xNi-LCCM
Figure 7 presents the catalytic thermal decomposition of methane into hydrogen over xNi-LCCM samples in a fixed bed (refer to Figure 3) as a function of time-on-stream at 750 °C, 800 °C, and 850 °C. There are significant differences in the catalytic decomposition activities of methane over these samples at various temperatures. From Figure 7, the following observations can be made: First, the methane conversion rate initially increases with the nickel content, then stabilizes, and the highest conversion rates on the
Figure 7. Methane Conversion as a Function of time on stream over xNi-LCCM Samples at (A) 750 °C; (C) 800 °C; and (E) 850 °C; respectively. Profiles of H2 formation rate as a function of time on stream over xNi-LCCM samples at (B) 750 °C; (D) 800 °C; and (F) 850 °C, respectively. LCCM: (La0.75Ca0.25)(Cr0.5Mn0.5)O3-δ.
Microstructure of xNi-LCCM samples and carbon products
Morphology of xNi-LCCM samples
Figure 8 illustrates the morphology of xNi-LCCM samples after being calcined at 1050 °C for ten h in the air to evaluate the microstructural changes due to the calcination process. As shown in Figure 8A, after calcination of 00Ni-LCCM, the particle size is uniformly distributed around 0.5 to 1 mm. For 02Ni-LCCM and 05Ni-LCCM, where the molar ratios of Ni to LCCM are 0.2 and 0.5, respectively, the powder shows obvious signs of sintering and growth. As the molar ratio of Ni to LCCM increases further, the sintering of the powder becomes more severe, as depicted in Figure 8D-G. The FESEM images reveal significant sintering of the catalysts, particularly notable in samples with higher nickel content. This sintering effect manifests as densification and growth of the catalyst particles, which can adversely affect the surface area critical for catalytic activity.
Figure 8. Morphology of xNi-LCCM samples after being calcined at 1000 °C for 10 h in air, (A)00Ni-LCCM; (B) 02Ni-LCCM; (C) 05Ni-LCCM; (D) 10Ni-LCCM; (E) 15Ni-LCCM; (F) 20Ni-LCCM and (G) 25Ni-LCCM. LCCM: (La0.75Ca0.25)(Cr0.5Mn0.5)O3-δ.
The distribution of nickel oxide was particularly pronounced, with excess nickel visibly forming aggregates around the perovskite LCCM particles. This aggregation likely results from the high-temperature conditions during calcination, which facilitate nickel oxide migration and growth around the particle, LCCM, surfaces. The images show that the nickel oxide does not remain evenly distributed but clusters in certain areas.
This uneven distribution and excessive growth of nickel oxide are crucial because they can impact the efficiency of methane decomposition by limiting the available active sites and potentially leading to deactivation of the catalyst through the covering of active sites by nickel aggregates. Additionally, the sintering and aggregation indicate that the thermal stability of the catalyst might be compromised at temperatures required for optimal catalytic activity, which is a vital consideration for scaling up this process for industrial applications.
Morphology of carbon products on xNi-LCCM
Figure 9 illustrates the morphology of carbon nanomaterials deposited over the xNi-LCCM catalysts at
Figure 9. Morphology of carbon materials deposited over (A)00Ni-LCCM; (B) 02Ni-LCCM, (C) 05Ni-LCCM; (D) 10Ni-LCCM; (E) 15Ni-LCCM; (F) 20Ni-LCCM and (G) 25Ni-LCCM at 750 °C under methane atmosphere for 15 h. LCCM: (La0.75Ca0.25)(Cr0.5Mn0.5)O3-δ.
In summary, while the FESEM analysis highlighted challenges with catalyst stability and nickel distribution, it also reaffirmed the catalyst’s ability to facilitate consistent production of carbon nanomaterials under high-temperature conditions. Further optimizations in catalyst formulation and preparation could mitigate sintering effects while maintaining or enhancing the desired catalytic properties.
CONCLUSIONS
This study demonstrated that nickel addition enhances the catalytic performance of LCCM perovskite in methane decomposition, optimizing the production of turquoise hydrogen and carbon nanomaterials. The optimal nickel to LCCM molar ratio was identified as 1.5, balancing catalytic efficiency and material costs and paving the way for future industrial applications. The results show that LCCM can stably exist in both oxidizing and reducing atmospheres, and it exhibits no catalytic activity for methane decomposition under these conditions. When the molar ratio of nickel to LCCM is 0.2, although Ni can fully enter the B-site of LCCM, the phenomenon of metal exsolution under a reducing atmosphere causes nickel to leach from the B-site of LCCM and accumulate on its surface, thereby becoming a catalyst that promotes the decomposition of methane. According to XRD results, when the nickel to LCCM molar ratio exceeds 0.5, not all nickel can enter the B-site of LCCM, and some of the nickel coexists with LCCM in the form of nickel oxide. FESEM analysis of xNi-LCCM, calcined at 1050 °C for ten h in the air, confirms severe sintering with excess nickel oxide distributed around the LCCM particles. At this point, the nickel leached from the B-site and the free nickel together promote the CDM, co-producing hydrogen and nanocarbon nanomaterials. At an operational temperature of 750 °C, the optimized Ni to LCCM molar ratio of 1.5 produced a peak carbon yield of 17.04 gC/gNi. Further increases in this ratio to 2.0 and 2.5 resulted in slightly higher yields of 17.17 gC/gNi and 17.63 gC/gNi, respectively. These incremental increases indicate a diminishing return on higher nickel content, suggesting an optimal catalyst formulation at a 1.5 molar ratio. The morphology of the carbon nanomaterials is unaffected by the molar ratio of NiO promoter to LCCM and remains nearly the same within the scope of this study.
DECLARATIONS
Authors’ contributions
Investigation, methodology, writing-original draft, writing-review and editing: Zhang, L.
Investigation, writing-review and editing: Zhang, W.
Review and editing: Poh, C. K.; Ding, O. L.; Zeng, J.; Cao, G.; Abubakar, S.
Data collection: He, H.; Kouk, Q. Y.
Funding acquisition, supervision, methodology, review: Zhang, L.; Chan, S. H.
Availability of data and materials
Data and materials will be made available upon request by authors.
Financial support and sponsorship
This work was supported by ExxonMobil through its membership in the Singapore Energy Center. This acknowledgment should not be considered an endorsement of the results by ExxonMobil.
Conflicts of interest
All authors declared that there are no conflicts of interest.
Ethical approval and consent to participate
Not applicable.
Consent for publication
Not applicable.
Copyright
© The Author(s) 2025.
REFERENCES
1. Gaucher, E. C. New perspectives in the industrial exploration for native hydrogen. Elements 2020, 16, 8-9.
2. Tong, S.; Miao, B.; Zhang, L.; Chan, S. H. Decarbonizing natural gas: a review of catalytic decomposition and carbon formation mechanisms. Energies 2022, 15, 2573.
3. Tong, S.; Miao, B.; Zhang, W.; Zhang, L.; Chan, S. H. Optimization of methane catalytic decomposition in a fluidized bed reactor: a computational approach. Energy. Conver. Manag. 2023, 297, 117719.
4. Ighalo, J. O.; Amama, P. B. Recent advances in the catalysis of steam reforming of methane (SRM). Int. J. Hydrogen. Energy. 2024, 51, 688-700.
5. Ambrosetti, M.; Bonincontro, D.; Balzarotti, R.; Beretta, A.; Groppi, G.; Tronconi, E. H2 production by methane steam reforming over Rh/Al2O3 catalyst packed in Cu foams: a strategy for the kinetic investigation in concentrated conditions. Catal. Today. 2022, 387, 107-18.
6. Nnabuife, S. G.; Ugbeh-johnson, J.; Okeke, N. E.; Ogbonnaya, C. Present and projected developments in hydrogen production: a technological review*. Carbon. Capture. Sci. Technol. 2022, 3, 100042.
7. Navas-Anguita, Z.; García-Gusano, D.; Dufour, J.; Iribarren, D. Revisiting the role of steam methane reforming with CO2 capture and storage for long-term hydrogen production. Sci. Total. Environ. 2021, 771, 145432.
8. Korányi, T. I.; Németh, M.; Beck, A.; Horváth, A. Recent advances in methane pyrolysis: turquoise hydrogen with solid carbon production. Energies 2022, 15, 6342.
9. Ingale, G. U.; Kwon, H.; Jeong, S.; et al. Assessment of greenhouse gas emissions from hydrogen production processes: turquoise hydrogen vs. steam methane reforming. Energies 2022, 15, 8679.
10. Chan, S. H.; Ding, O. L.; Hoang, D. L. A Thermodynamic view of partial oxidation, steam reforming, and autothermal reforming on methane. Int. J. Green. Energy. 2004, 1, 265-78.
11. Hoang, D.; Chan, S.; Ding, O. Kinetic and modelling study of methane steam reforming over sulfide nickel catalyst on a gamma alumina support. Chem. Eng. J. 2005, 112, 1-11.
12. Hoang, D.; Chan, S.; Ding, O. Hydrogen production for fuel cells by autothermal reforming of methane over sulfide nickel catalyst on a gamma alumina support. J. Power. Sources. 2006, 159, 1248-57.
13. Matin, N. S.; Flanagan, W. P. Environmental performance of nonthermal plasma dry and conventional steam reforming of methane for hydrogen production: application of life cycle assessment methodology. Int. J. Hydrogen. Energy. 2024, 49, 1405-13.
14. Ding, X.; Li, B.; Yang, Y.; Liu, X.; Guo, Y.; Wang, Y. Steam reforming of methane over nickel-aluminum spinel-derived catalyst. Int. J. Hydrogen. Energy. 2024, 51, 1256-66.
15. Do, T. N.; Kwon, H.; Park, M.; Kim, C.; Kim, Y. T.; Kim, J. Carbon-neutral hydrogen production from natural gas via electrified steam reforming: techno-economic-environmental perspective. Energy. Convers. Manag. 2023, 279, 116758.
16. Hamdan, M.; Halawy, L.; Abdel, K. A. N.; Ahmad, M. N.; Zeaiter, J. Analytical review of the catalytic cracking of methane. Fuel 2022, 324, 124455.
17. Qian, J. X.; Chen, T. W.; Enakonda, L. R.; et al. Methane decomposition to produce CO -free hydrogen and nano-carbon over metal catalysts: a review. Int. J. Hydrogen. Energy. 2020, 45, 7981-8001.
18. Qian, J.; Li, H.; Sun, D.; et al. Tuning Mg-Fe-O solid solutions towards optimized exsolution of active sites for thermal catalytic decomposition of methane. Chem. Eng. J. 2024, 497, 154595.
19. Abbas, H. F.; Wan, D. W. Hydrogen production by methane decomposition: a review. Int. J. Hydrogen. Energy. 2010, 35, 1160-90.
20. Hazra, M.; Croiset, E.; Hudgins, R. R.; Silveston, P. L.; Elkamel, A. Experimental investigation of the catalytic cracking of methane over a supported Ni catalyst. Can. J. Chem. Eng. 2009, 87, 99-105.
21. Mcconnachie, M.; Konarova, M.; Smart, S. Literature review of the catalytic pyrolysis of methane for hydrogen and carbon production. Int. J. Hydrogen. Energy. 2023, 48, 25660-82.
22. Abánades, A.; Rubbia, C.; Salmieri, D. Thermal cracking of methane into hydrogen for a CO2-free utilization of natural gas. Int. J. Hydrogen. Energy. 2013, 38, 8491-6.
23. Jin, L.; Si, H.; Zhang, J.; et al. Preparation of activated carbon supported Fe-Al2O3 catalyst and its application for hydrogen production by catalytic methane decomposition. Int. J. Hydrogen. Energy. 2013, 38, 10373-80.
24. Amin, A. M.; Croiset, E.; Epling, W. Review of methane catalytic cracking for hydrogen production. Int. J. Hydrogen. Energy. 2011, 36, 2904-35.
25. Ashik, U.; Wan, D. W.; Abbas, H. F. Production of greenhouse gas free hydrogen by thermocatalytic decomposition of methane - a review. Renew. Sustain. Energy. Rev. 2015, 44, 221-56.
26. Maneerung, T.; Hidajat, K.; Kawi, S. LaNiO3 perovskite catalyst precursor for rapid decomposition of methane: influence of temperature and presence of H2 in feed stream. Catalysis. Today. 2011, 171, 24-35.
27. Takenaka, S.; Shigeta, Y.; Tanabe, E.; Otsuka, K. Methane decomposition into hydrogen and carbon nanofibers over supported Pd-Ni catalysts. J. Catal. 2003, 220, 468-77.
28. Gallego G, Barrault J, Batiot-dupeyrat C, Mondragón F. Production of hydrogen and MWCNTs by methane decomposition over catalysts originated from LaNiO3 perovskite. Catal. Today. 2010, 149, 365-71.
29. Jiang, S.; Chen, X.; Chan, S.; Kwok, J.; Khor, K. (La0.75Sr0.25)(Cr0.5Mn0.5)O3/YSZ composite anodes for methane oxidation reaction in solid oxide fuel cells. Solid. State. Ionics. 2006, 177, 149-57.
30. Jiang, S. P.; Chen, X. J.; Chan, S. H.; Kwok, J. T. GDC-impregnated (La0.75Sr0.25)(Cr0.5Mn0.5)O3 anodes for direct utilization of methane in solid oxide fuel cells. J. Electrochem. Soc. 2006, 153, A850.
31. Sfeir, J.; Buffat, P. A.; Möckli, P.; et al. Lanthanum chromite based catalysts for oxidation of methane directly on SOFC anodes. J. Catal. 2001, 202, 229-44.
32. Chen, X.; Liu, Q.; Khor, K.; Chan, S. High-performance (La,Sr)(Cr,Mn)O3/(Gd,Ce)O2-δ composite anode for direct oxidation of methane. J. Power. Sources. 2007, 165, 34-40.
33. Jiang, S. P.; Zhang, L.; Zhang, Y. Lanthanum strontium manganese chromite cathode and anode synthesized by gel-casting for solid oxide fuel cells. J. Mater. Chem. 2007, 17, 2627.
34. Li, H.; Sun, G.; Xie, K.; et al. Chromate cathode decorated with in-situ growth of copper nanocatalyst for high temperature carbon dioxide electrolysis. Int. J. Hydrogen. Energy. 2014, 39, 20888-97.
35. Sun, H.; He, X.; Huang, X.; Gan, L. Modification of LSCM structure by anchoring alloy nanoparticles for efficient CO2 electrolysis. Energy. Fuels. 2024, 38, 3436-44.
36. Jardiel, T.; Caldes, M.; Moser, F.; Hamon, J.; Gauthier, G.; Joubert, O. New SOFC electrode materials: the Ni-substituted LSCM-based compounds (La0.75Sr0.25)(Cr0.5Mn0.5-xNix)O3-δ and (La0.75Sr0.25)(Cr0.5-xNixMn0.5)O3-δ. Solid. State. Ionics. 2010, 181, 894-901.
37. Carrillo, A. J.; López-García, A.; Delgado-Galicia, B.; Serra, J. M. New trends in nanoparticle exsolution. Chem. Commun. 2024, 60, 7987-8007.
38. Zhang, L.; Ping, J. S.; Siang, C. C.; Zhang, Y. Synthesis and performance of (La0.75Sr0.25)1-x(Cr0.5Mn0.5)O3 cathode powders of solid oxide fuel cells by gel-casting technique. J. Electrochem. Soc. 2007, 154, B577.
39. Zhang, L.; Chen, X.; Jiang, S. P.; He, H. Q.; Xiang, Y. Characterization of doped La0.7A0.3Cr0.5Mn0.5O3-δ (A=Ca, Sr, Ba) electrodes for solid oxide fuel cells. Solid. State. Ionics. 2009, 180, 1076-82.
40. Jiang, S. P.; Zhang, L.; He, H. Q.; Yap, R. K.; Xiang, Y. Synthesis and characterization of lanthanum silicate apatite by gel-casting route as electrolytes for solid oxide fuel cells. J. Power. Sources. 2009, 189, 972-81.
41. Maneerung, T.; Hidajat, K.; Kawi, S. Co-production of hydrogen and carbon nanofibers from catalytic decomposition of methane over LaNi(1-x)Mx O3-α perovskite (where M=Co, Fe and X=0, 0.2, 0.5, 0.8, 1). Int. J. Hydrogen. Energy. 2015, 40, 13399-411.
42. Duma, Z. G.; Swartbooi, A.; Musyoka, N. M. Thermocatalytic decomposition of methane to low-carbon hydrogen using LaNi1-xCuxO3 perovskite catalysts. Appl. Catal. A:. Gen. 2024, 677, 119703.
Cite This Article
How to Cite
Download Citation
Export Citation File:
Type of Import
Tips on Downloading Citation
Citation Manager File Format
Type of Import
Direct Import: When the Direct Import option is selected (the default state), a dialogue box will give you the option to Save or Open the downloaded citation data. Choosing Open will either launch your citation manager or give you a choice of applications with which to use the metadata. The Save option saves the file locally for later use.
Indirect Import: When the Indirect Import option is selected, the metadata is displayed and may be copied and pasted as needed.




















Comments
Comments must be written in English. Spam, offensive content, impersonation, and private information will not be permitted. If any comment is reported and identified as inappropriate content by OAE staff, the comment will be removed without notice. If you have any queries or need any help, please contact us at [email protected].